728x90
반응형
먼저, 탐색을 하기 위해서는 지도(Graph)가 필요하다.
1. 그래프(Graph)란?
- 점(Node / Vertex): 도시, 사람, 데이터.
- 선(Edge): 도로, 친구 관계, 연결 선.

컴퓨터에게 이 지도를 알려주는 방법은 딱 2가지가 존재한다. 코딩테스트에 있어서는 2번(리스트) 방식을 많이 사용한다.
1.1. 2차원 배열(Adjacency Matrix)
- 방식: 엑셀 표처럼 모든 연결 관계를 1(연결됨)과 0(안됨)으로 표시하는 방법.
- 장점: graph[1][2]가 연결됐는지에 대한 확인이 빠르다.
- 단점: 점이 10,000개라면 표가 너무 커져서 메모리가 터진다.
1.2. 연결 리스트(Adjacency List)
- 방식: 각 점마다 자신과 연결된 애들만 나열한다.
- 장점: 필요한 것만 저장해서 메모리를 절약할 수 있다.
2. DFS (깊이 우선 탐색) : 불도저
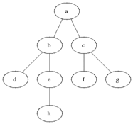
"한 우물만 판다."깊이 우선 탐색의 예시 (출처: 위키백과)
갈림길이 나오면 무조건 한쪽으로 끝까지 들어간다. 막다른 골목에 다다르면 그제서야 뒤로 돌아 나와 다른 길을 찾는 탐색 방법이다.
- 핵심 도구: 재귀 함수(Recursion) 또는 스택(Stack)
- 순서: 1 → 2 → 4 → 5 (끝 찍고) → 3 ...
- 예시: 이진 트리(Binary Tree) 순회 방식이 이 깊이 우선 방식에 속한다.
- preOrder, inOrder, postOrder
- 특징
- 모든 경우의 수를 탐색해야할 때 유리하다.
- 단, 찾은 경로가 최단 경로라는 보장은 없다.
3. BFS (너비 우선 탐색) : 와이파이
주변부터 챙긴다.너비 우선 탐색의 예시 (출처: 위키백과)
나랑 가까운 곳부터 다 방문하고, 그 다음에 가까운곳을 방문한다. 와이파이 신호가 퍼지듯이 층층이 퍼져나가는 형태다.
- 핵심 도구: 큐(Queue). 줄세우기
- 순서: 1 → 2 → 3 (주변 다 확인 후) → 4 → 5 ...
- 특징
- 최단 경로를 찾을 때 매우 강력하다. (가중치가 없는 그래프에서)
4. 구현
package graph_search;
import java.util.ArrayDeque;
import java.util.Deque;
import java.util.LinkedList;
import java.util.Queue;
public class Study_DFS_BFS {
static class Graph { // 그래프
class Node {
int data; // node의 데이터
LinkedList<Node> adjacent; // 인접한 노드들의 리스트
boolean marked; // 해당 노드를 방문했는지에 대한 정보
// 노드 생성 시
Node (int data) {
this.data = data;
this.marked = false;
adjacent = new LinkedList<Node>();
}
}
Node[] nodes;
Graph(int size) {
nodes = new Node[size];
for (int i = 0; i < size; i++) {
nodes[i] = new Node(i);
}
}
// 두 노드의 연결선
void addEdge(int i1, int i2) {
Node n1 = nodes[i1];
Node n2 = nodes[i2];
// n1 노드에 n2 노드가 있는지 확인하고 없다면 추가
if (!n1.adjacent.contains(n2)) {
n1.adjacent.add(n2);
}
// 반대로 n2 노드에 n1 노드가 있는지 확인하고 없다면 추가
if (!n2.adjacent.contains(n1)) {
n2.adjacent.add(n1);
}
}
void dfs() {
dfs(0);
}
void dfs(int index) {
Node root = nodes[index];
// Stack<Node> stack = new Stack<Node>(); // stack 클래스는 매우 비효율적임
Deque<Node> stack = new ArrayDeque<>();
stack.push(root);
root.marked = true;
while(!stack.isEmpty()) {
// 먼저 스택에 들어있는 가장 맨위의 노드를 꺼낸다.
Node r = stack.pop();
// Stack에 추가되지 않은 인접한 노드들만 추가하는 작업
for (Node n : r.adjacent) {
if (!n.marked) { // 아직 Stack에 들어오지 않았다면
n.marked = true; // 해당 인접 노드 마커 변경
stack.push(n); // 스택에 추가
}
}
// 꺼낸 노드를 출력한다.
visit(r);
}
}
// 재귀함수를 이용한 dfs
void dfsR(Node r) {
if (r == null) return;
r.marked = true;
visit(r);
for (Node n : r.adjacent) {
// 아직 호출되지 않은 인접노드라면 재귀함수를 이용해서 호출한다.
if (!n.marked) {
dfsR(n);
}
}
}
void dfsR(int index) {
dfsR(nodes[index]);
}
void dfsR() {
dfsR(nodes[0]);
}
void bfs() {
bfs(0);
}
void bfs(int index) {
Node root = nodes[index];
Queue<Node> queue = new ArrayDeque<>();
queue.offer(root);
root.marked = true;
while (!queue.isEmpty()) {
Node r = queue.poll();
// 출력한 노드의 인접 노드를 큐에 추가한다.
for (Node n : r.adjacent) {
if (!n.marked) {
n.marked = true;
queue.offer(n);
}
}
visit(r);
}
}
// 방문
void visit(Node n) {
System.out.print(n.data + " ");
}
}
public static void main(String[] args) {
Graph g = new Graph(9);
g.addEdge(0, 1);
g.addEdge(1, 2);
g.addEdge(1, 3);
g.addEdge(2, 4);
g.addEdge(2, 3);
g.addEdge(3, 4);
g.addEdge(3, 5);
g.addEdge(5, 6);
g.addEdge(5, 7);
g.addEdge(6, 8);
// g.dfs(3);
// g.dfsR(3);
// g.bfs();
}
}
728x90
반응형
'Coding Test > 알고리즘' 카테고리의 다른 글
| 투 포인터(Two Pointers) (0) | 2026.02.19 |
|---|---|
| 백트래킹(Back Tracking) (0) | 2026.02.17 |
| 브루트 포스(Brute Force, 완전 탐색 기법) (0) | 2026.02.17 |
| 탐색 (Search) - DFS / BFS (0) | 2026.02.10 |
| 알고리즘 - 이분 탐색(Binary Search) (0) | 2026.02.03 |

